Официальное опубликование правовых актов
ОФИЦИАЛЬНОЕ ОПУБЛИКОВАНИЕ
Приказ Комитета градостроительной политики Ленинградской области от 21.01.2022 № 5
"О внесении изменений в Правила землепользования и застройки муниципального образования "Пудостьское сельское поселение" Гатчинского муниципального района Ленинградской области и отмене приказа Комитета градостроительной политики Ленинградской области от 14 декабря 2021 года № 160 "О внесении изменений в Правила землепользования и застройки муниципального образования "Пудостьское сельское поселение" Гатчинского муниципального района Ленинградской области"
Номер опубликования: 4701202201270010
Дата опубликования: 27.01.2022
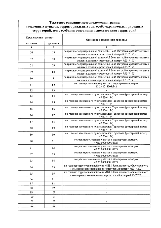
Страница №22 из 29:
Увеличить