Официальное опубликование правовых актов
ОФИЦИАЛЬНОЕ ОПУБЛИКОВАНИЕ
Приказ Комитета градостроительной политики Ленинградской области от 25.01.2022 № 6
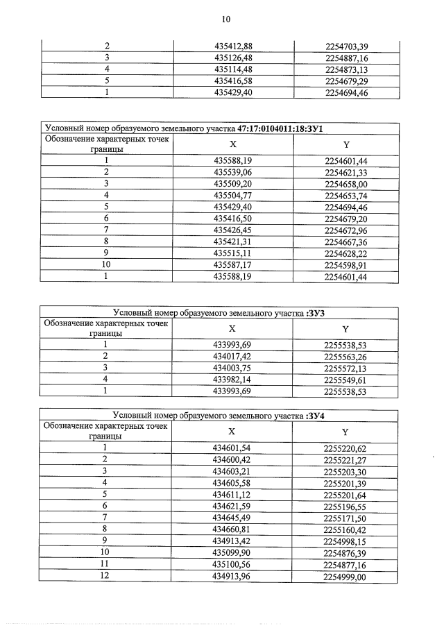
"Об утверждении проекта планировки территории и проекта межевания территории, предусматривающих размещение линейных объектов транспортной и инженерной инфраструктуры в районе ул. Кирова, ул. Школьная, ул. Старосинявинская дорога, ул. Садовая, пер. Лесной в г. Шлиссельбурге Кировского муниципального района Ленинградской области"
Номер опубликования: 4701202201270006
Дата опубликования: 27.01.2022
Страница №59 из 83:
Увеличить