Официальное опубликование правовых актов
ОФИЦИАЛЬНОЕ ОПУБЛИКОВАНИЕ
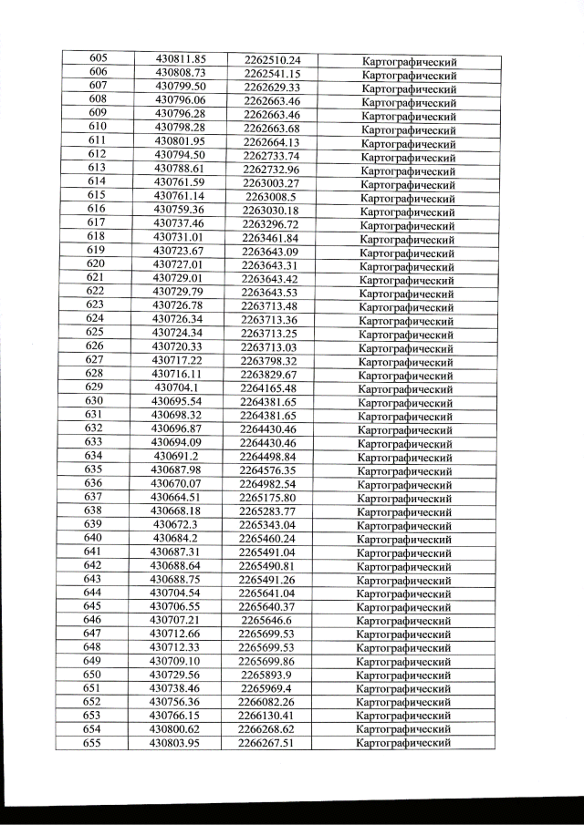
Приказ Комитета по сохранению культурного наследия Ленинградской области от 21.01.2022 № 01-03/22-5
"Об установлении границ территории объекта культурного наследия регионального значения – достопримечательного места "Военно-мемориальная зона "Прорыв блокады Ленинграда, 1941-1944 гг.", требований к осуществлению деятельности и требований к градостроительным регламентам в границах его территории"
Номер опубликования: 4701202201260001
Дата опубликования: 26.01.2022
Страница №85 из 110:
Увеличить