Официальное опубликование правовых актов
ОФИЦИАЛЬНОЕ ОПУБЛИКОВАНИЕ
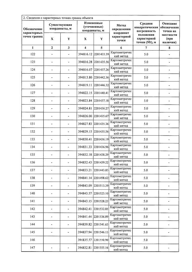
Приказ Комитета градостроительной политики Ленинградской области от 13.01.2022 № 2
"О внесении изменений в Правила землепользования и застройки муниципального образования "Город Гатчина" Гатчинского муниципального района Ленинградской области"
Номер опубликования: 4701202201190005
Дата опубликования: 19.01.2022
Страница №21 из 32:
Увеличить