Официальное опубликование правовых актов
ОФИЦИАЛЬНОЕ ОПУБЛИКОВАНИЕ
Приказ Комитета по природным ресурсам Ленинградской области от 30.12.2021 № 66
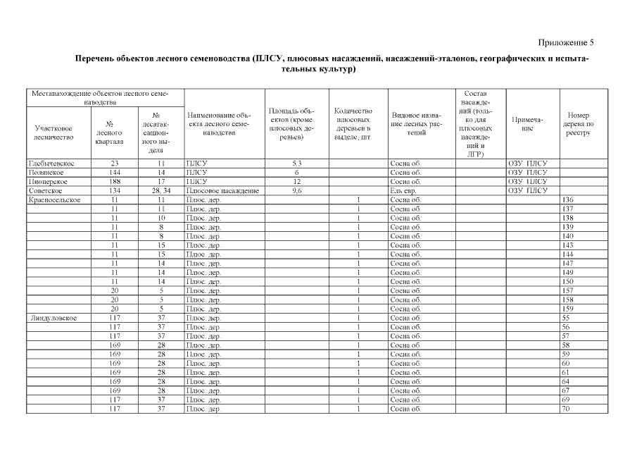
"О внесении изменений в приказ комитета по природным ресурсам Ленинградской области от 01.11.2018 года № 18 "Об утверждении лесохозяйственного регламента Рощинского лесничества Ленинградской области"
Номер опубликования: 4701202201080004
Дата опубликования: 08.01.2022
Страница №368 из 394:
Увеличить