Официальное опубликование правовых актов
ОФИЦИАЛЬНОЕ ОПУБЛИКОВАНИЕ
Приказ Комитета по сохранению культурного наследия Ленинградской области от 29.12.2021 № 01-03/21-304
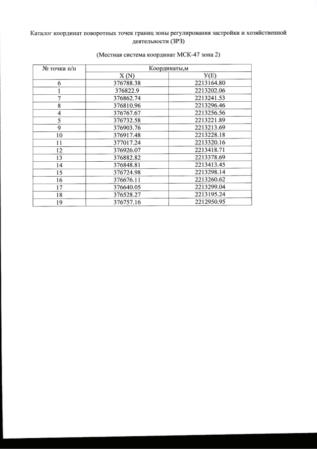
"Об утверждении границ зон охраны объекта культурного наследия регионального значения "Церковь Казанской иконы Божией Матери, 1913-1914 гг." расположенного по адресу: Ленинградская область, Гатчинский район, г.п. Вырица, проспект Кирова, д 49, режимов использования земель и требований к градостроительным регламентам в границах данных зон"
Номер опубликования: 4701202201020020
Дата опубликования: 02.01.2022
Страница №5 из 7:
Увеличить