Официальное опубликование правовых актов
ОФИЦИАЛЬНОЕ ОПУБЛИКОВАНИЕ
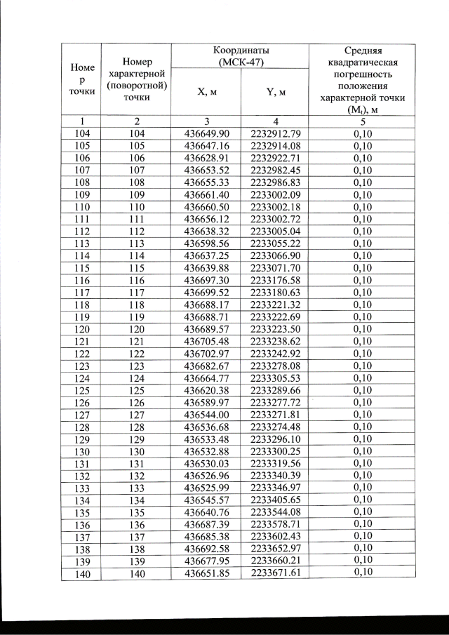
Приказ Комитета по сохранению культурного наследия Ленинградской области от 20.12.2021 № 01-03/21-204
"Об установлении границ территории объекта культурного наследия федерального значения "Научный городок ученого-физиолога И.П. Павлова", расположенного по адресу: Ленинградская область, Всеволожский район, с. Павлово, Институт физиологии им. И.П. Павлова"
Номер опубликования: 4701202112240014
Дата опубликования: 24.12.2021
Страница №11 из 13:
Увеличить