Официальное опубликование правовых актов
ОФИЦИАЛЬНОЕ ОПУБЛИКОВАНИЕ
Приказ Комитета градостроительной политики Ленинградской области от 13.12.2021 № 159
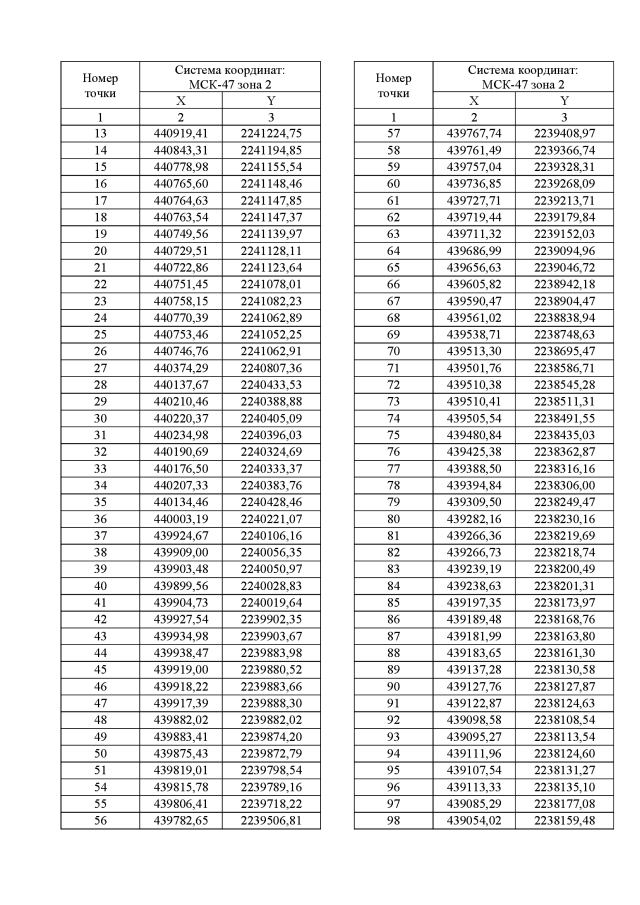
"Об утверждении проекта планировки территории и проекта межевания территории с целью размещения линейного объекта "Газопровод межпоселковый от распределительного газопровода Ду700 ГРС "Русский Дизель" до мкр. "Южный" г. Всеволожск с отводом на д. Коркино, к западной части д. Суоранда Всеволожского района"
Номер опубликования: 4701202112200005
Дата опубликования: 20.12.2021
Страница №126 из 198:
Увеличить