Официальное опубликование правовых актов
ОФИЦИАЛЬНОЕ ОПУБЛИКОВАНИЕ
Приказ Комитета градостроительной политики Ленинградской области от 08.12.2021 № 156
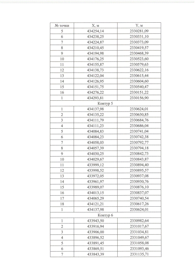
"Об утверждении проекта планировки территории и проекта межевания территории для размещения линейного объекта "АО "Метахим". Ж/д инфраструктура. 2-й этап", расположенного на территории муниципального образования город Волхов Волховского муниципального района Ленинградской области"
Номер опубликования: 4701202112150012
Дата опубликования: 15.12.2021
Страница №73 из 147:
Увеличить