Официальное опубликование правовых актов
ОФИЦИАЛЬНОЕ ОПУБЛИКОВАНИЕ
Приказ Комитета градостроительной политики Ленинградской области от 22.10.2021 № 135
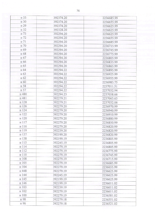
"Об утверждении проекта планировки территории и проекта межевания территории земельного участка с кадастровым номером 47:26:0139001:67, расположенного в массиве "Ушаки", уч. "Новолисино", №№ 143, 144, 145, д. Еглизи Тосненского района"
Номер опубликования: 4701202110290002
Дата опубликования: 29.10.2021
Страница №104 из 119:
Увеличить