Официальное опубликование правовых актов
ОФИЦИАЛЬНОЕ ОПУБЛИКОВАНИЕ
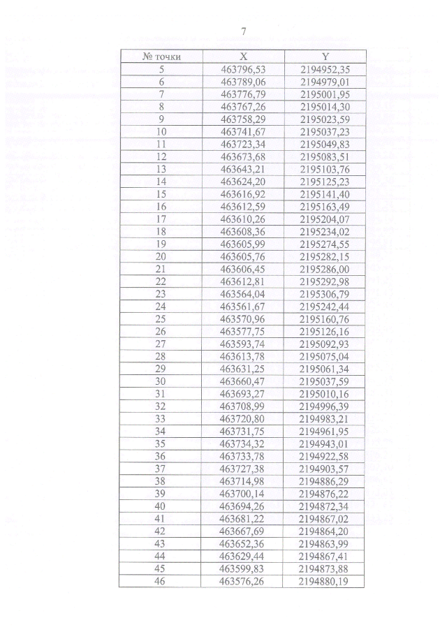
Приказ Комитета градостроительной политики Ленинградской области от 15.10.2021 № 132
"Об утверждении проекта планировки территории и проекта межевания территории для размещения линейного объекта "Автомобильный путепровод на участке автомобильной дороги общего пользования федерального значения А-181 "Скандинавия" Санкт-Петербург – Выборг – граница с Финляндской Республикой в районе км 47"
Номер опубликования: 4701202110230006
Дата опубликования: 23.10.2021
Страница №29 из 33:
Увеличить