Официальное опубликование правовых актов
ОФИЦИАЛЬНОЕ ОПУБЛИКОВАНИЕ
Приказ Комитета градостроительной политики Ленинградской области от 14.10.2021 № 131
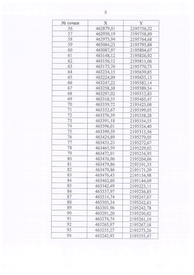
"Об утверждении проекта планировки территории и проекта межевания территории для размещения линейного объекта "Автомобильная дорога от Высокотехнологичного многофункционального медицинского комплекса до автомобильной дороги общего пользования федерального значения А-181 "Скандинавия" Санкт-Петербург – Выборг – граница с Финляндской Республикой на км 47"
Номер опубликования: 4701202110230005
Дата опубликования: 23.10.2021
Страница №34 из 39:
Увеличить