Официальное опубликование правовых актов
ОФИЦИАЛЬНОЕ ОПУБЛИКОВАНИЕ
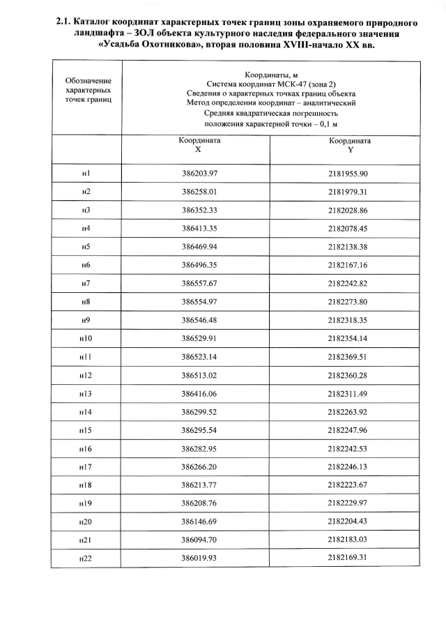
Приказ Комитета по сохранению культурного наследия Ленинградской области от 18.10.2021 № 01-03/21-155
"Об установлении границ зон охраны объекта культурного наследия федерального значения "Усадьба Охотникова", вторая половина XVIII-начало ХХ вв., расположенного по адресу: Ленинградская область, Гатчинский муниципальный район, Елизаветинское сельское поселение, п. Елизаветино, Усадьба, 1Д, и об утверждении требований к градостроительным регламентам в границах территорий данных зон"
Номер опубликования: 4701202110230002
Дата опубликования: 23.10.2021
Страница №14 из 27:
Увеличить