Официальное опубликование правовых актов
ОФИЦИАЛЬНОЕ ОПУБЛИКОВАНИЕ
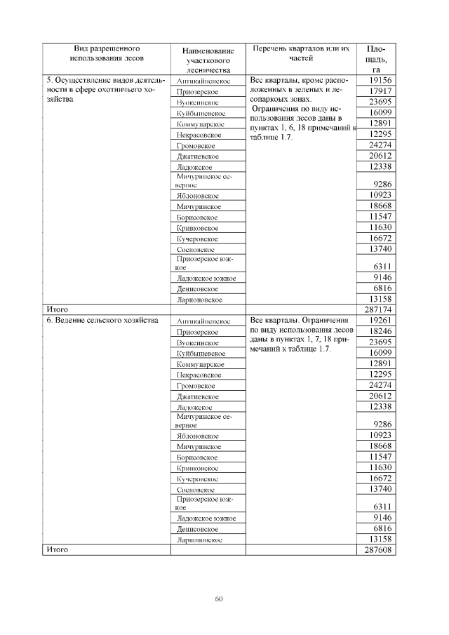
Приказ Комитета по природным ресурсам Ленинградской области от 13.10.2021 № 58
"О внесении изменений в приказ комитета по природным ресурсам Ленинградской области от 01.10.2018 года № 15 "Об утверждении лесохозяйственного регламента Приозерского лесничества Ленинградской области"
Номер опубликования: 4701202110220002
Дата опубликования: 22.10.2021
Страница №61 из 363:
Увеличить