Официальное опубликование правовых актов
ОФИЦИАЛЬНОЕ ОПУБЛИКОВАНИЕ
Приказ Комитета градостроительной политики Ленинградской области от 27.09.2021 № 126
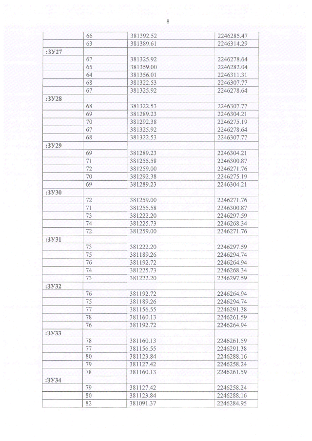
"Об утверждении проекта планировки территории и проекта межевания территории СНТ "Радуга", по адресу: Ленинградская область, Тосненский муниципальный район, Тосненское городское поселение, массив "Рубеж", кадастровый номер 47:26:0733002:147"
Номер опубликования: 4701202110040004
Дата опубликования: 04.10.2021
Страница №22 из 38:
Увеличить