Официальное опубликование правовых актов
ОФИЦИАЛЬНОЕ ОПУБЛИКОВАНИЕ
Приказ Комитета градостроительной политики Ленинградской области от 27.09.2021 № 125
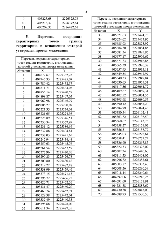
"Об утверждении проекта планировки территории и проекта межевания территории, расположенной в западной части г.п. Фёдоровское Фёдоровского городского поселения Тосненского района Ленинградской области, и ограниченной с запада Фёдоровским Посадом и Киссолово Юг, с севера - границей земельного участка с кадастровым номером 47:26:0108001:1381, с востока – ул. Шоссейная, с юга – полевой дорогой"
Номер опубликования: 4701202110040001
Дата опубликования: 04.10.2021
Страница №55 из 59:
Увеличить