Официальное опубликование правовых актов
ОФИЦИАЛЬНОЕ ОПУБЛИКОВАНИЕ
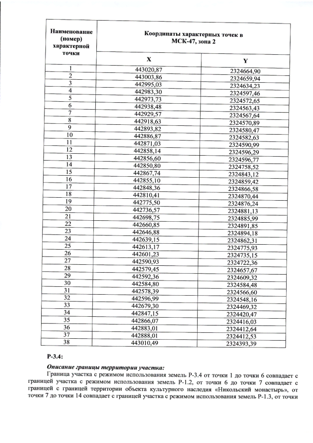
Приказ Комитета по сохранению культурного наследия Ленинградской области от 14.09.2021 № 01-03/21-139
"О внесении изменений в приказ комитета по культуре Ленинградской области от 15 марта 2018 года № 01-03/18-39 "Об установлении границ территории, предмета охраны, требований к осуществлению деятельности и требований к градостроительным регламентам в границах территории объекта культурного наследия регионального значения достопримечательное место "Поселение Старая Ладога", Ленинградская область, Волховский район, с. Старая Ладога (Ленинградская область, Волховский муниципальный район, Староладожское сельское поселение, с. Старая Ладога)"
Номер опубликования: 4701202109200010
Дата опубликования: 20.09.2021
Страница №82 из 87:
Увеличить