Официальное опубликование правовых актов
ОФИЦИАЛЬНОЕ ОПУБЛИКОВАНИЕ
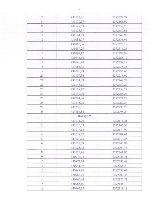
Приказ Комитета градостроительной политики Ленинградской области от 18.08.2021 № 110
"Об утверждении проекта планировки территории и проекта межевания территории, расположенной в дер. Назия Приладожского городского поселения Кировского района Ленинградской области и ограниченной ул. Рыночная, ул. Староладожский канал, границей дер. Назия, границами объектов туристско-рекреационной инфраструктуры"
Номер опубликования: 4701202108250009
Дата опубликования: 25.08.2021
Страница №9 из 83:
Увеличить