Официальное опубликование правовых актов
ОФИЦИАЛЬНОЕ ОПУБЛИКОВАНИЕ
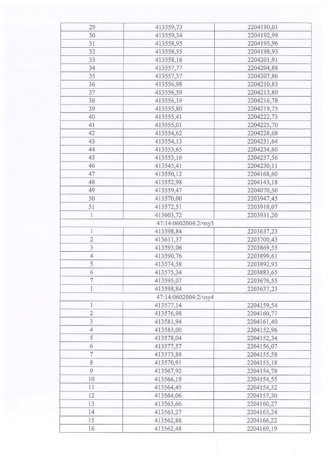
Приказ Комитета градостроительной политики Ленинградской области от 16.08.2021 № 109
"Об утверждении проекта планировки территории и проекта межевания территории, предусматривающих размещение линейного объекта "Распределительный газопровод от ГРП-14 до газораспределительных сетей Красносельского района г. Санкт-Петербурга", расположенной в муниципальном образовании Виллозское городское поселение Ломоносовского муниципального района Ленинградской области"
Номер опубликования: 4701202108240002
Дата опубликования: 24.08.2021
Страница №39 из 70:
Увеличить