Официальное опубликование правовых актов
ОФИЦИАЛЬНОЕ ОПУБЛИКОВАНИЕ
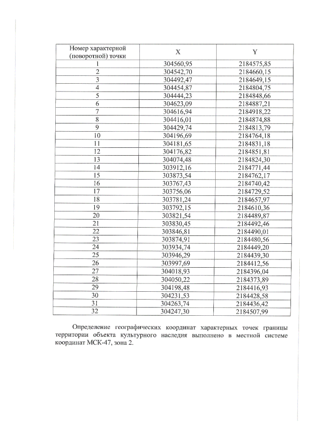
Приказ Комитета по сохранению культурного наследия Ленинградской области от 23.06.2021 № 01-03/21-95
"О включении выявленного объекта культурного наследия "Комплекс зданий военного городка: 38 зданий", местонахождение: Ленинградская область, Лужский район, г. Луга-3, 1-й полигон, в единый государственный реестр объектов культурного наследия (памятников истории и культуры) народов Российской Федерации в качестве объекта культурного наследия регионального значения "Комплекс военного городка Лужского Сергиевского артиллерийского полигона", 1908-1916 гг., утверждении границ его территории и установлении предмета охраны"
Номер опубликования: 4701202107020003
Дата опубликования: 02.07.2021
Страница №10 из 45:
Увеличить