Официальное опубликование правовых актов
ОФИЦИАЛЬНОЕ ОПУБЛИКОВАНИЕ
Приказ Комитета по социальной защите населения Ленинградской области от 27.05.2021 № 04-24
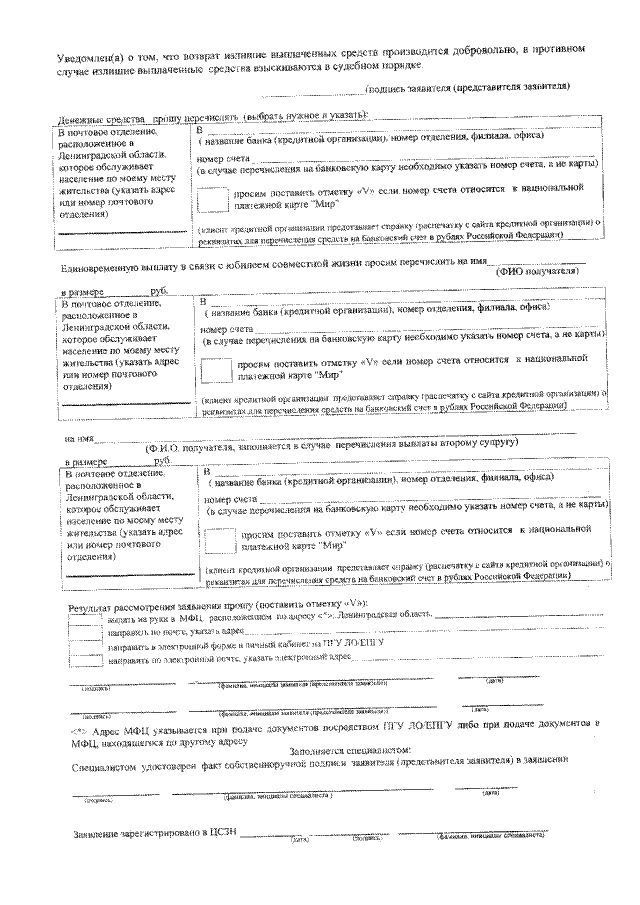
"О внесении изменений в приказ комитета по социальной защите населения Ленинградской области от 31 января 2020 года № 5 "Об утверждении административных регламентов предоставления на территории Ленинградской области государственных услуг в сфере социальной защиты населения"
Номер опубликования: 4701202106010001
Дата опубликования: 01.06.2021
Страница №7 из 7:
Увеличить