Официальное опубликование правовых актов
ОФИЦИАЛЬНОЕ ОПУБЛИКОВАНИЕ
Приказ Комитета градостроительной политики Ленинградской области от 13.04.2021 № 40
"О внесении изменений в Правила землепользования и застройки муниципального образования Черновское сельское поселение Сланцевского муниципального района Ленинградской области"
Номер опубликования: 4701202104210003
Дата опубликования: 21.04.2021
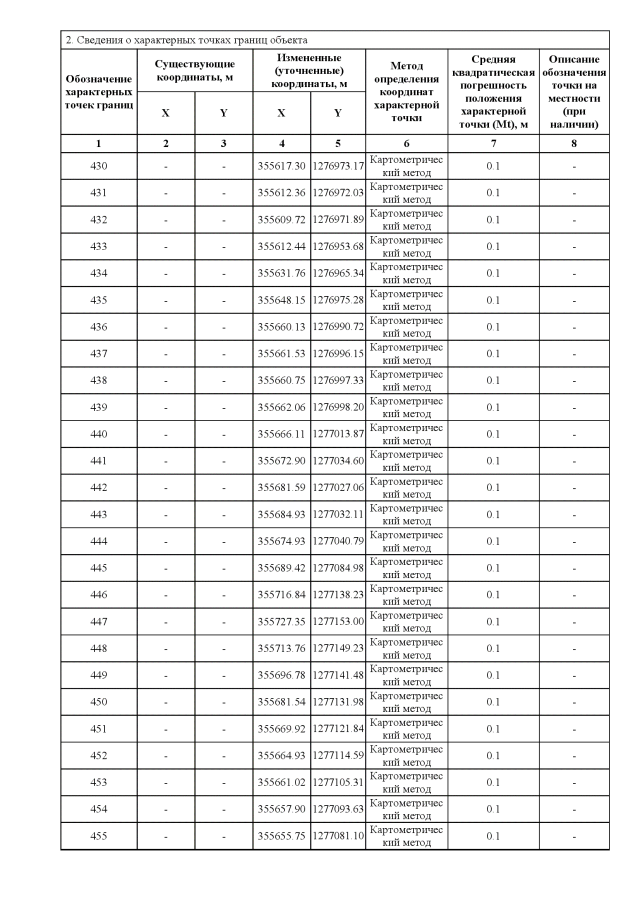
Страница №446 из 554:
Увеличить