Официальное опубликование правовых актов
ОФИЦИАЛЬНОЕ ОПУБЛИКОВАНИЕ
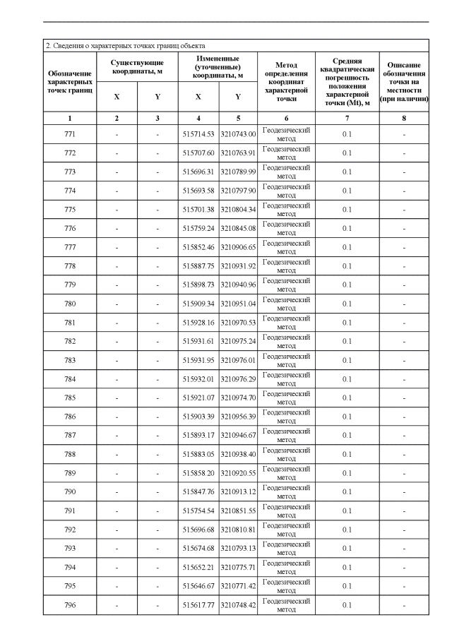
Приказ Комитета градостроительной политики Ленинградской области от 26.03.2021 № 32
"Об утверждении правил землепользования и застройки Лодейнопольского городского поселения Лодейнопольского муниципального района Ленинградской области"
Номер опубликования: 4701202104020003
Дата опубликования: 02.04.2021
Страница №1543 из 1567:
Увеличить