Официальное опубликование правовых актов
ОФИЦИАЛЬНОЕ ОПУБЛИКОВАНИЕ
Приказ Комитета градостроительной политики Ленинградской области от 26.03.2021 № 32
"Об утверждении правил землепользования и застройки Лодейнопольского городского поселения Лодейнопольского муниципального района Ленинградской области"
Номер опубликования: 4701202104020003
Дата опубликования: 02.04.2021
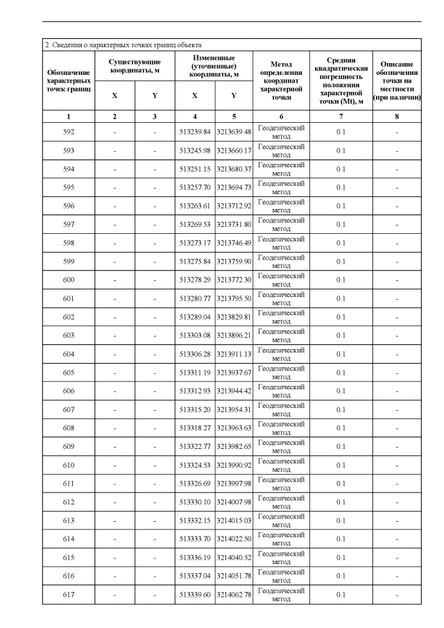
Страница №1536 из 1567:
Увеличить