Официальное опубликование правовых актов
ОФИЦИАЛЬНОЕ ОПУБЛИКОВАНИЕ
Приказ Комитета по сохранению культурного наследия Ленинградской области от 25.03.2021 № 01-03/21-36
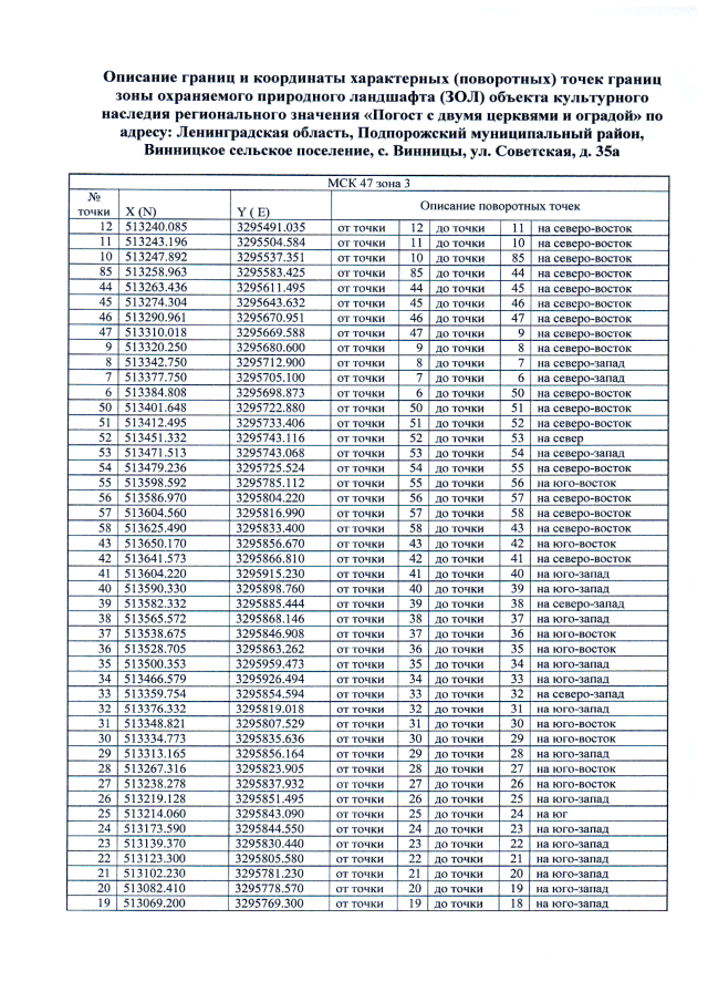
"Об утверждении границ зон охраны объекта культурного наследия регионального значения "Погост с двумя церквями и оградой" по адресу: Ленинградская область, Подпорожский муниципальный район, Винницкое сельское поселение, с. Винницы, ул. Советская, д. 35а, режимов использования земель и требований к градостроительным регламентам в границах данных зон"
Номер опубликования: 4701202103300004
Дата опубликования: 30.03.2021
Страница №4 из 12:
Увеличить