Официальное опубликование правовых актов
ОФИЦИАЛЬНОЕ ОПУБЛИКОВАНИЕ
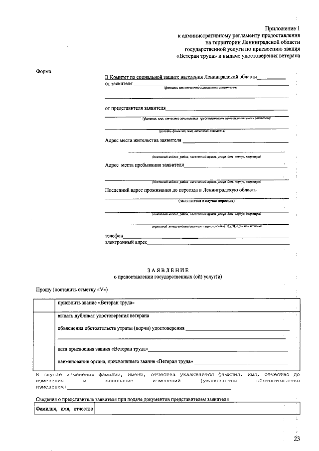
Приказ Комитета по социальной защите населения Ленинградской области от 18.03.2021 № 04-10
"О внесении изменений в приказ комитета по социальной защите населения Ленинградской области от 31 января 2020 №4 "Об утверждении административных регламентов предоставления на территории Ленинградской области государственных услуг по выдаче удостоверений льготным категориям граждан"
Номер опубликования: 4701202103260003
Дата опубликования: 26.03.2021
Страница №24 из 35:
Увеличить