Официальное опубликование правовых актов
ОФИЦИАЛЬНОЕ ОПУБЛИКОВАНИЕ
Приказ Комитета градостроительной политики Ленинградской области от 15.03.2021 № 25
"О внесении изменений в Правила землепользования и застройки территории муниципального образования "Город Всеволожск" Всеволожского муниципального района Ленинградской области"
Номер опубликования: 4701202103180006
Дата опубликования: 18.03.2021
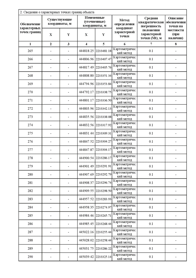
Страница №29 из 344:
Увеличить