Официальное опубликование правовых актов
ОФИЦИАЛЬНОЕ ОПУБЛИКОВАНИЕ
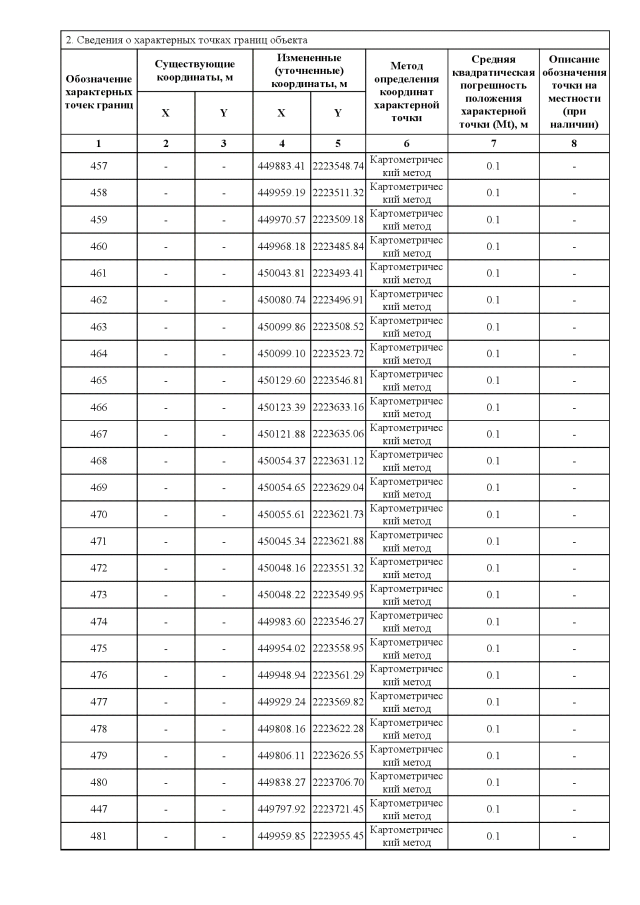
Приказ Комитета градостроительной политики Ленинградской области от 04.02.2021 № 7
"О внесении изменений в Правила землепользования и застройки на селитебную часть территории муниципального образования "Новодевяткинское сельское поселение" Всеволожского муниципального района Ленинградской области"
Номер опубликования: 4701202102110002
Дата опубликования: 11.02.2021
Страница №31 из 74:
Увеличить