Официальное опубликование правовых актов
ОФИЦИАЛЬНОЕ ОПУБЛИКОВАНИЕ
Приказ Управления ветеринарии Ленинградской области от 15.01.2021 № 2
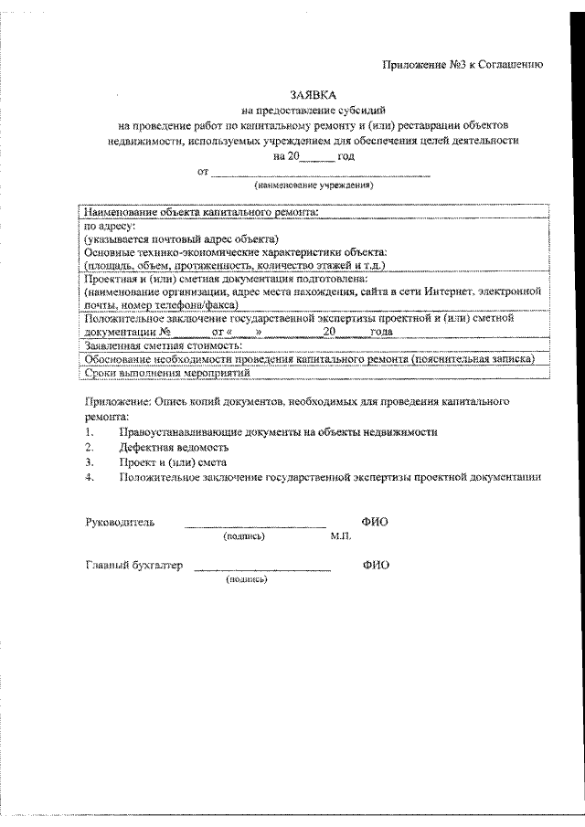
"Об утверждении порядка определения объема и условий предоставления из областного бюджета Ленинградской области субсидий на иные цели государственным бюджетным учреждениям Ленинградской области, в отношении которых Управление ветеринарии Ленинградской области осуществляет функции и полномочия учредителя"
Номер опубликования: 4701202101220002
Дата опубликования: 22.01.2021
Страница №17 из 25:
Увеличить