Официальное опубликование правовых актов
ОФИЦИАЛЬНОЕ ОПУБЛИКОВАНИЕ
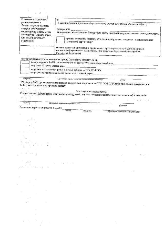
Приказ Комитета по социальной защите населения Ленинградской области от 25.12.2020 № 43
"О внесении изменений в приказ комитета по социальной защите населения Ленинградской области от 31 января 2020 года № 5 "Об утверждении административных регламентов предоставления на территории Ленинградской области государственных услуг в сфере социальной защиты населения"
Номер опубликования: 4701202012310002
Дата опубликования: 31.12.2020
Страница №53 из 53:
Увеличить