Официальное опубликование правовых актов
ОФИЦИАЛЬНОЕ ОПУБЛИКОВАНИЕ
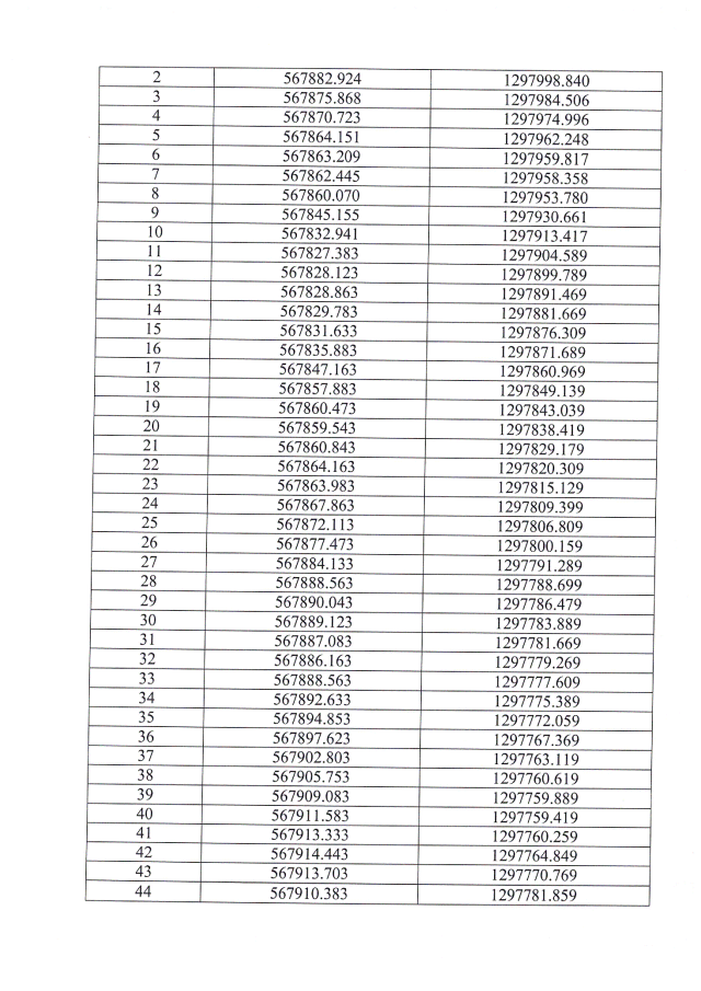
Приказ Комитета по культуре Ленинградской области от 29.12.2020 № 01-03/20-382
"Об утверждении границ зон охраны объекта культурного наследия регионального значения "Памятник-обелиск на месте гибели известного советского писателя Льва Канторовича (в июне 1941 г.)", расположенного по адресу: Ленинградская область, Выборгский муниципальный район, Светогорское городское поселение, г. Светогорск, ул. Льва Конторовича, 25, режимов использования земель и требований к градостроительным регламентам в границах данных зон"
Номер опубликования: 4701202012300004
Дата опубликования: 30.12.2020
Страница №8 из 12:
Увеличить