Официальное опубликование правовых актов
ОФИЦИАЛЬНОЕ ОПУБЛИКОВАНИЕ
Приказ Комитета по культуре Ленинградской области от 16.12.2020 № 01-03/20-361
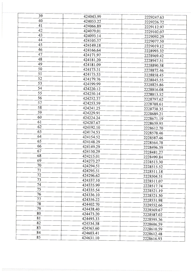
"Об установлении границ территории объекта культурного наследия федерального значения "Ансамбль дачи Зиновьева (усадьба "Богословка"), XVIII – XIX века" по адресу: Ленинградская область, Всеволожский район, деревня Невский парклесхоз, участок №35, усадьба "Богословка"
Номер опубликования: 4701202012240007
Дата опубликования: 24.12.2020
Страница №7 из 9:
Увеличить