Официальное опубликование правовых актов
ОФИЦИАЛЬНОЕ ОПУБЛИКОВАНИЕ
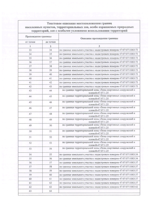
Приказ Комитета градостроительной политики Ленинградской области от 27.11.2020 № 71
"О внесении изменений в Правила землепользования и застройки на селитебную часть территории муниципального образования "Новодевяткинское сельское поселение" Всеволожского муниципального района Ленинградской области"
Номер опубликования: 4701202012040032
Дата опубликования: 04.12.2020
Страница №78 из 90:
Увеличить