Официальное опубликование правовых актов
ОФИЦИАЛЬНОЕ ОПУБЛИКОВАНИЕ
Приказ Комитета финансов Ленинградской области от 31.07.2020 № 18-02/20-18
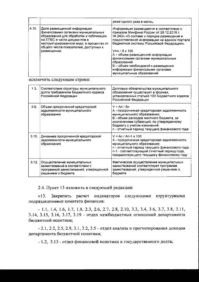
"О внесении изменений в приказ комитета финансов Ленинградской области от 27 ноября 2013 года № 18-02/01-20-159 "Об утверждении методики проведения оценки качества управления муниципальными финансами"
Номер опубликования: 4701202008060004
Дата опубликования: 06.08.2020
Страница №11 из 12:
Увеличить