Официальное опубликование правовых актов
ОФИЦИАЛЬНОЕ ОПУБЛИКОВАНИЕ
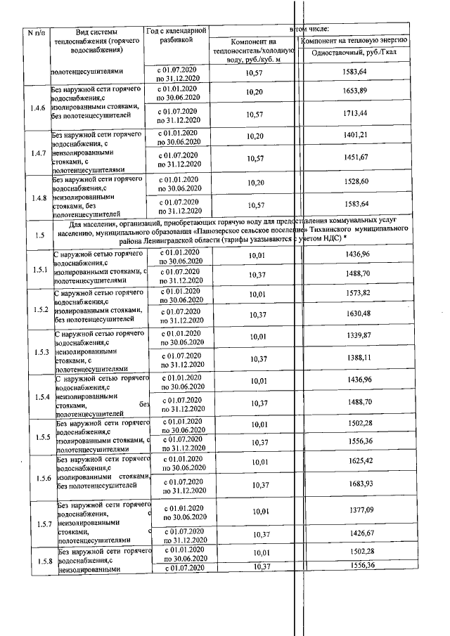
Приказ Комитета по тарифам и ценовой политике Ленинградской области от 20.12.2019 № 722-п
"Об установлении тарифов на тепловую энергию и горячую воду (горячего водоснабжения), поставляемые населению, организациям, приобретающим тепловую энергию и горячую воду для предоставления коммунальных услуг населению, на территории Тихвинского муниципального района Ленинградской области в 2020 году"
Номер опубликования: 4701201912300056
Дата опубликования: 30.12.2019
Страница №8 из 11:
Увеличить