Официальное опубликование правовых актов
ОФИЦИАЛЬНОЕ ОПУБЛИКОВАНИЕ
Приказ Комитета по тарифам и ценовой политике Ленинградской области от 20.12.2019 № 612-п
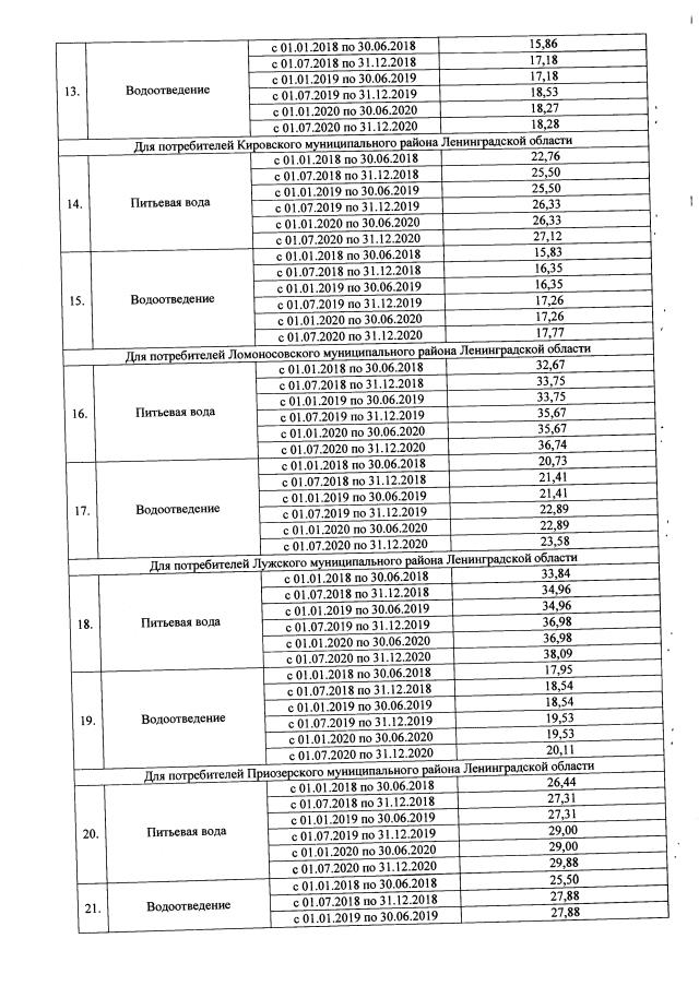
"О внесении изменений в приказ комитета по тарифам и ценовой политике Ленинградской области от 19 декабря 2017 года № 500-п "Об установлении тарифов на питьевую воду и водоотведение федерального государственного бюджетного учреждения "Центральное жилищно-коммунальное управление" Министерства обороны Российской Федерации на 2018-2020 годы"
Номер опубликования: 4701201912300014
Дата опубликования: 30.12.2019
Страница №4 из 5:
Увеличить