Официальное опубликование правовых актов
ОФИЦИАЛЬНОЕ ОПУБЛИКОВАНИЕ
Приказ Комитета по культуре Ленинградской области от 17.12.2019 № 01-03/19-562
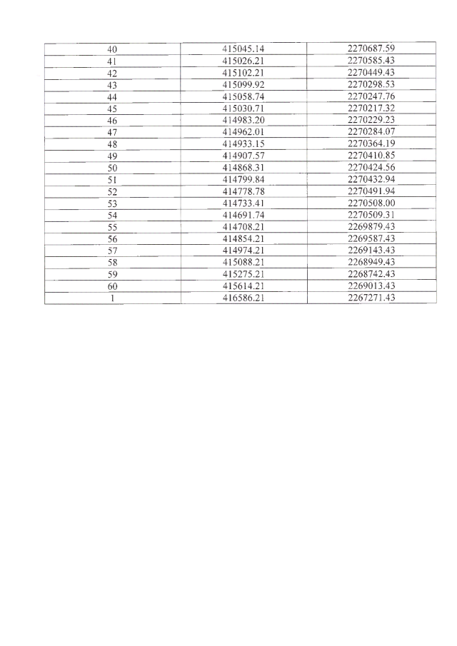
"Об установлении границ территории и предмета охраны объекта культурного наследия федерального значения "Оборонительные сооружения войск Волховского фронта в районе ожесточенных боев с немецко-фашистскими оккупантами 1943 г." по адресу: Ленинградская область, Кировский район, в 3 км к юго-востоку от ж.д.ст. Апраксин, близ левого берега р. Назия, на месте бывшей деревни Вороново"
Номер опубликования: 4701201912250046
Дата опубликования: 25.12.2019
Страница №7 из 12:
Увеличить