Официальное опубликование правовых актов
ОФИЦИАЛЬНОЕ ОПУБЛИКОВАНИЕ
Приказ Комитета по культуре Ленинградской области от 16.12.2019 № 01-03/19-553
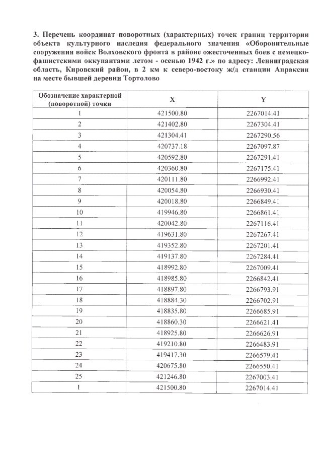
"Об установлении границ территории и предмета охраны объекта культурного наследия федерального значения "Оборонительные сооружения войск Волховского фронта в районе ожесточенных боев с немецко-фашистскими оккупантами летом - осенью 1942 г." по адресу: Ленинградская область, Кировский район, в 2 км к северо-востоку ж/д станции Апраксин на месте бывшей деревни Тортолово"
Номер опубликования: 4701201912250002
Дата опубликования: 25.12.2019
Страница №6 из 13:
Увеличить