Официальное опубликование правовых актов
ОФИЦИАЛЬНОЕ ОПУБЛИКОВАНИЕ
Приказ Комитета по культуре Ленинградской области от 03.12.2019 № 01-03/19-492
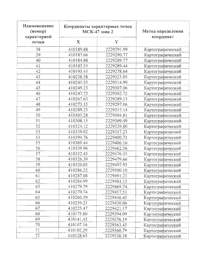
"Об утверждении границ зон охраны объекта культурного наследия федерального значения "Монумент советским воинам, героически защищавшим подступы к Ленинграду в июне 1942 г." (памятник "Штурм"), расположенного по адресу: Ленинградская область, Тосненский район, дер. Ям-Ижора, автомагистраль СПб-Москва, 32-й км, режимов использования земель и требований к градостроительным регламентам в границах данной зоны"
Номер опубликования: 4701201912110002
Дата опубликования: 11.12.2019
Страница №7 из 8:
Увеличить