Официальное опубликование правовых актов
ОФИЦИАЛЬНОЕ ОПУБЛИКОВАНИЕ
Приказ Комитета по культуре Ленинградской области от 30.09.2019 № 01-03/19-409
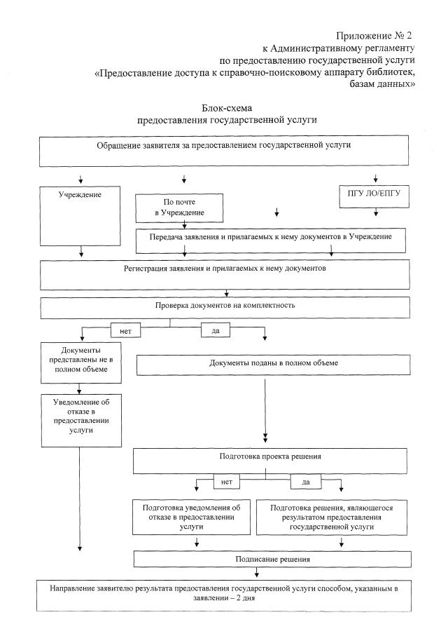
"Об утверждении административного регламента предоставления на территории Ленинградской области государственной услуги "Предоставление доступа к справочно-поисковому аппарату библиотек, базам данных"
Номер опубликования: 4701201910070003
Дата опубликования: 07.10.2019
Страница №18 из 18:
Увеличить