Официальное опубликование правовых актов
ОФИЦИАЛЬНОЕ ОПУБЛИКОВАНИЕ
Приказ Комитета по культуре Ленинградской области от 10.09.2019 № 01-03/19-386
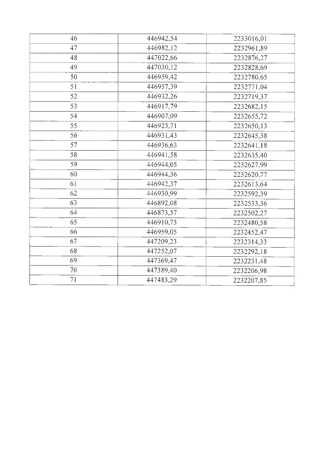
"Об утверждении границ защитной зоны объекта культурного наследия федерального значения "Усадьба В.А. Всеволожского, в которой в разные годы бывали композиторы Алябьев Александр Александрович, Верстовский Алексей Николаевич и другие деятели культуры", адрес (местонахождение): Ленинградская область, Всеволожский муниципальный район, Всеволожское городское поселение, г. Всеволожск, шоссе Дорога Жизни, 11-й км"
Номер опубликования: 4701201909170001
Дата опубликования: 17.09.2019
Страница №5 из 5:
Увеличить