Официальное опубликование правовых актов
ОФИЦИАЛЬНОЕ ОПУБЛИКОВАНИЕ
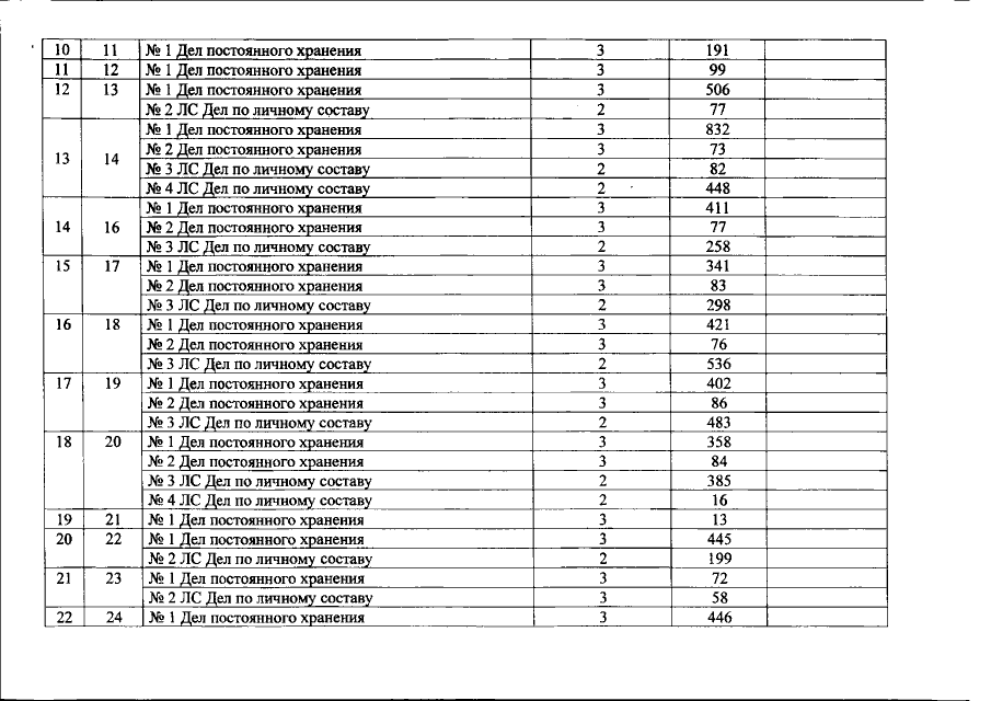
Приказ Архивного Управления Ленинградской области от 19.07.2019 № 7
"Об определении перечня архивных документов, относящихся к собственности Ленинградской области, переданных на хранение муниципальным районам, городскому округу Ленинградской области для осуществления органами местного самоуправления отдельных государственных полномочий Ленинградской области в сфере архивного дела по состоянию на 1 января 2019 года"
Номер опубликования: 4701201907260002
Дата опубликования: 26.07.2019
Страница №214 из 254:
Увеличить