Официальное опубликование правовых актов
ОФИЦИАЛЬНОЕ ОПУБЛИКОВАНИЕ
Приказ Комитета по социальной защите населения Ленинградской области от 19.04.2019 № 16
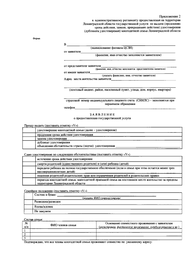
"О внесении изменений в приказ комитета по социальной защите населения Ленинградской области от 30 июня 2016 года № 23 "Об утверждении административных регламентов предоставления на территории Ленинградской области государственных услуг по выдаче удостоверений льготным категориям граждан"
Номер опубликования: 4701201904250011
Дата опубликования: 25.04.2019
Страница №14 из 21:
Увеличить