Приказ Комитета по культуре Ленинградской области от 02.04.2019 № 01-03/19-210
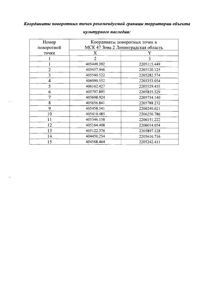
"Об установлении границ территории объекта культурного наследия федерального значения "Усадебный дом Демидова", 1774-1780 гг. местонахождение: Ленинградская область, Гатчинский район, г.п. Тайцы"
"Об установлении границ территории объекта культурного наследия федерального значения "Усадебный дом Демидова", 1774-1780 гг. местонахождение: Ленинградская область, Гатчинский район, г.п. Тайцы"
Номер опубликования: 4701201904100003
Дата опубликования:
10.04.2019
