Приказ Комитета по культуре Ленинградской области от 20.12.2018 № 01-03/18-536
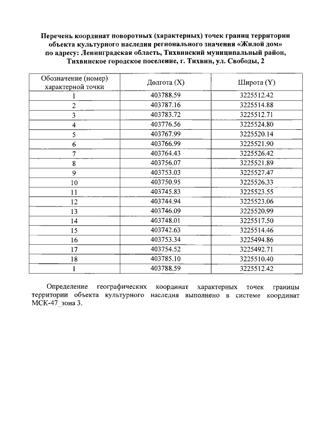
"Об установлении границ территории и предмета охраны объекта культурного наследия регионального значения "Жилой дом" по адресу: Ленинградская область, Тихвинский муниципальный район, Тихвинское городское поселение, г. Тихвин, ул. Свободы, 2"
"Об установлении границ территории и предмета охраны объекта культурного наследия регионального значения "Жилой дом" по адресу: Ленинградская область, Тихвинский муниципальный район, Тихвинское городское поселение, г. Тихвин, ул. Свободы, 2"
Номер опубликования: 4701201812290166
Дата опубликования:
29.12.2018
