Официальное опубликование правовых актов
ОФИЦИАЛЬНОЕ ОПУБЛИКОВАНИЕ
Приказ Комитета по культуре Ленинградской области от 20.12.2018 № 01-03/18-556
"Об установлении границ территории и предмета охраны объекта культурного наследия регионального значения "Усадьба Витгенштейна" в составе: "Костел", "Часовня", "Здание б. военного музея", "Дом садовника (деревянный)", "Парк" по адресу: Ленинградская область, Гатчинский муниципальный район, Сиверское городское поселение, пос. Дружноселье"
Номер опубликования: 4701201812290139
Дата опубликования: 29.12.2018
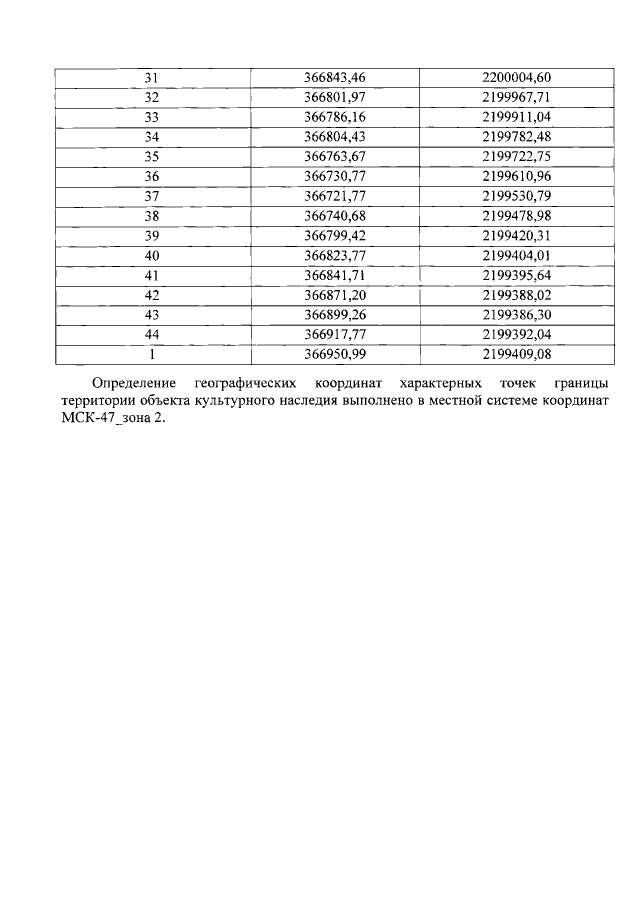
Страница №5 из 10:
Увеличить