Официальное опубликование правовых актов
ОФИЦИАЛЬНОЕ ОПУБЛИКОВАНИЕ
Приказ Комитета по культуре Ленинградской области от 25.12.2018 № 01-03/18-649
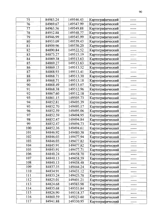
"Об установлении границ территории, требований к осуществлению деятельности и требований к градостроительным регламентам в границах территории объекта культурного наследия регионального значения - достопримечательного места "Плацдарм советских войск в битве за снятие блокады Ленинграда "Невский пятачок" - "Невская Дубровка", 1941 - 1943 г."
Номер опубликования: 4701201812290079
Дата опубликования: 29.12.2018
Страница №90 из 107:
Увеличить