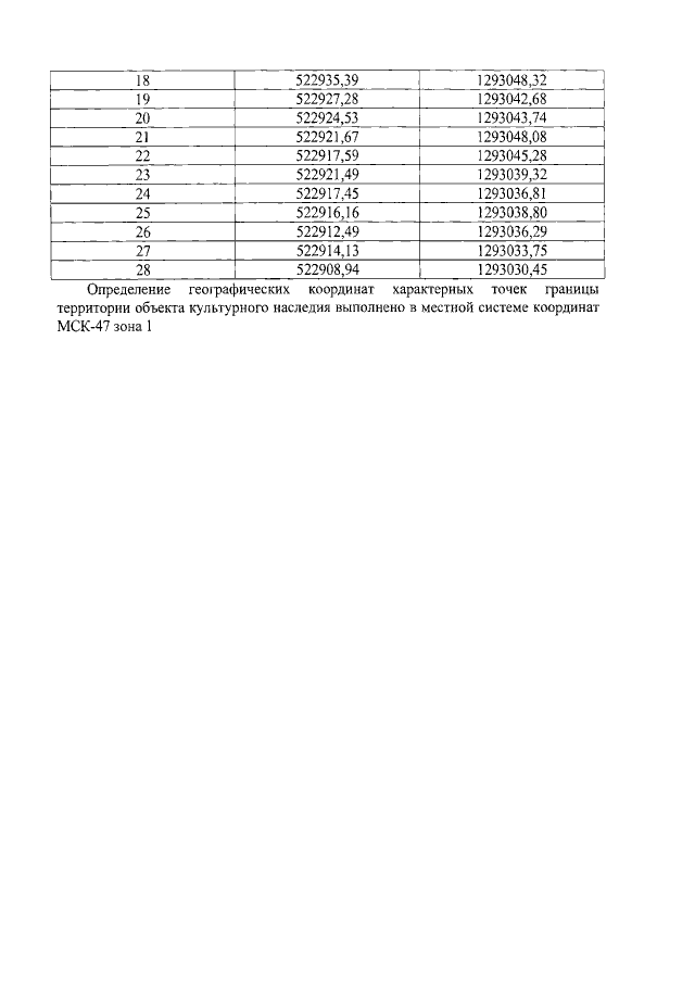
Приказ Комитета по культуре Ленинградской области от 24.12.2018 № 01-03/18-631
"Об установлении границ территории и предмета охраны объекта культурного наследия регионального значения "Жилой дом" по адресу: Ленинградская область, Выборгский муниципальный район, г. Выборг, ул. Северный Вал, д. 19"
"Об установлении границ территории и предмета охраны объекта культурного наследия регионального значения "Жилой дом" по адресу: Ленинградская область, Выборгский муниципальный район, г. Выборг, ул. Северный Вал, д. 19"
Номер опубликования: 4701201812290033
Дата опубликования:
29.12.2018
