Официальное опубликование правовых актов
ОФИЦИАЛЬНОЕ ОПУБЛИКОВАНИЕ
Приказ Комитета по культуре Ленинградской области от 18.12.2018 № 01-03/18-503
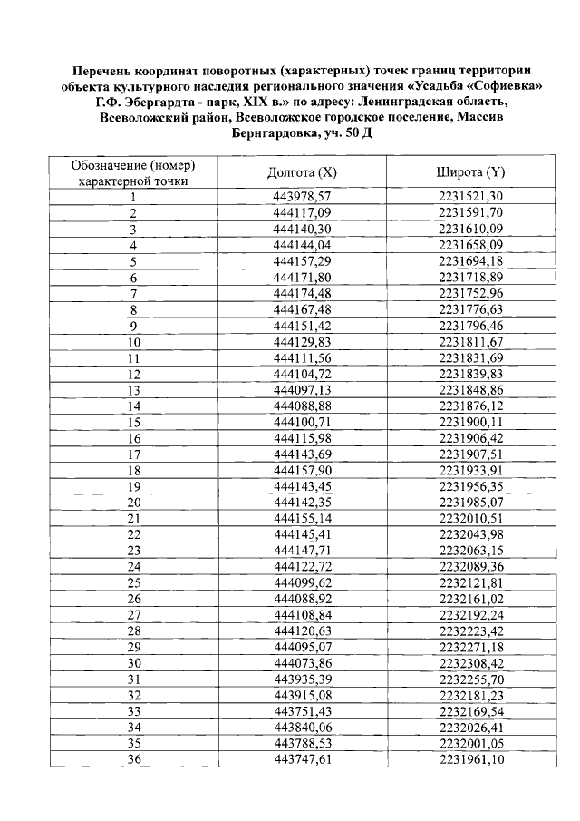
"Об установлении границ территории и предмета охраны объекта культурного наследия регионального значения "Усадьба "Софиевка" Г.Ф. Эбергардта - парк, XIX в." по адресу: Ленинградская область, Всеволожский район, Всеволожское городское поселение, Массив Бернгардовка, уч. 50 Д"
Номер опубликования: 4701201812270013
Дата опубликования: 27.12.2018
Страница №5 из 11:
Увеличить