Официальное опубликование правовых актов
ОФИЦИАЛЬНОЕ ОПУБЛИКОВАНИЕ
Приказ Комитета по культуре Ленинградской области от 11.12.2018 № 01-03/18-473
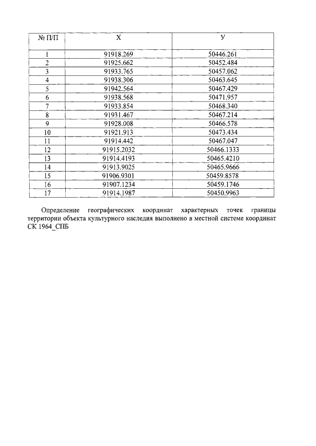
"Об установлении границ территории и предмета охраны объекта культурного наследия регионального значения "Памятник-танк на рубеже обороны воинам-танкистам, героически сражавшимся здесь, на подступах к Ленинграду в августе 1941 г.", расположенного по адресу: Ленинградская область, Гатчинский муниципальный район, Войсковицкое сельское поселение, Массив п. Новый Учхоз"
Номер опубликования: 4701201812200017
Дата опубликования: 20.12.2018
Страница №6 из 8:
Увеличить